
The instrumentation system has been improved enormously since the first leak noise correlator was employed. It is currently in common use for the inspection of pipeline networks, in particular, for the leakage location in buried water pipes.
In order to improve the sustainability of pipeline networks, new leak detection technology and equipment have received much attention in the past two decades. The sensing performance of leak noise is one of the key factors for accurate location of pipeline leakage.
To reveal the mechanism of signal amplitude distortion governing the accuracy of pipeline leakage localization, researchers from the Institute of Acoustics (IOA) of the Chinese Academy of Sciences and Sao Paulo State University conducted the theoretical, numerical and experimental investigations of the effects of severe amplitude distortion through either clipping or quantization on the accuracy of the leak location.
The research was published in Journal of Sound and Vibration on August 17, 2019.
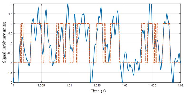
The researchers previously proposed the model of internal pressure and pipe wall vibration resulting from water leakage in buried pipes. On this basis, they introduced the SIFNUM function to simulate the extreme cases (clipping or quantization), effectively keeping only zero crossings in the signals (Fig. 1).
Combined with Van Vleck model and random telegraph theory for severely clipped signals, analytical expressions along with their approximations were derived for the cross-correlation function (CCF) and cross power spectral density (CPSD) for both pressure and acceleration measurements, which facilitated insights into the effects of signal amplitude distortion on the efficacy using cross-correlation.
It was demonstrated that even if the signals suffered from severe amplitude distortion, an accurate time delay estimate and hence leak location could be obtained provided that the zero crossings in the noise data were preserved. For experimental data from actual leak detection measurements as plotted in Fig. 2, the clipping effect on the shape of the cross-correlation coefficients (close to the peak values) was negligible for both pressure and acceleration measurements.
The findings had a major implication for the development of leak noise correlators. Electronic circuits for automatic gain control were unnecessary; the fidelity of the digitised signals using a large number of bits in the ADC was unnecessary; if the leak noise was at least as large as the voltage level of a single bit, the time delay estimation using two leak noise signals was possible.
Fig. 1 An actual leak noise signal and the corresponding clipped signal. (Image by IOA)
Fig. 2 Processed cross-spectral density, phase spectrum and cross-correlation coefficients for measured leak noise signals and the clipped signals. (Image by IOA)
86-10-68597521 (day)
86-10-68597289 (night)
52 Sanlihe Rd., Xicheng District,
Beijing, China (100864)