2023
Experimental Advanced Superconducting Tokamak (EAST), made a breakthrough with new plasma development of 403 seconds on April 12, breaking its own record of 101 seconds made in 2017.
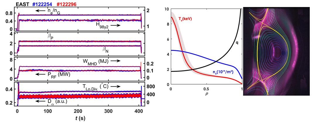
The first 403-second steady-state H-mode plasma was achieved at 21:00 on April 12 on EAST, Hefei Institutes of Physical Science (HFIPS), which was a new record of pulse length on high performance operation in tokamaks. On the second day at 19:00, the EAST team repeated this operational scenario, demonstrating the reliable capability of the device.
There were several distinctive features in this scenario development, according to Prof. GONG Xianzu, the head of Division of EAST Physics and Experimental Operations, HFIPS.
A full non-inductive plasma was achieved on EAST in W-Divertor with high density and high bootstrap current utilizing Radio Frequency wave heating with zero torque injection.
"One of the most notable features of this new plasma development was Energy Confinement Factor H98y2 around 1.35 with internal transport barrier by electron dominant heating," said GONG.
Additionally, the experiment successfully tackled key issues on particle and heat balance with actively cooling tungsten divertor, resulting in a recycling coefficient R of approximately 0.92 and the surface temperature on lower divertor below 600℃.
Moreover, throughout the discharge, the EAST exhibited small Edge Localized Modes (ELMs) along with high core performance, where plasma poloidal beta was around 2.5 and normalized beta reached 1.5.
This major breakthrough made in EAST physics experiment further verifies the feasibility of steady-state H-mode operation in the future fusion reactor. It marked an important milestone in fusion energy research and brought us one step closer to developing a clean, sustainable source of power for the future, according to GONG.
"EAST's success is a joint effort, a statement of most extensive cooperation in scientific fields," said SONG Yuntao, vice president of HFIPS and director general of Institute of Plasma Physics (ASIPP). "EAST team has worked together closely with their collaborators at home and abroad over the past decades solving a series of frontier physics & technical issues with a long-time scale, including plasma configuration control, high efficiency of RF heating and current drive, plasma-wall interactions, real-time diagnostics for key plasma parameters."
The first experimental campaign on EAST in 2023 will be going on for about two or three months and the second one has been scheduled this winter.

Breakthrough was achieved in EAST with new plasma development. (Image by EAST Team)

At 21:00 on April 12, the first 403-second steady-state H-mode plasma was achieved on EAST, Hefei Institutes of Physical Science (HFIPS). (Image by EAST Team)

SONG Yuntao, vice president of Hefei Institutes of Physical Science (HFIPS), and GONG Xianzu, chief operator of EAST experiment, were celebrating in the EAST hall after the breakthrough of "artificial sun". (Image by Xinhua News)