Research News
Scientists Reveal Reaction Mechanism of 8B Nucleus
Editor: ZHANG Nannan | Feb 09, 2021
Print

Scientists from the Institute of Modern Physics (IMP) of the Chinese Academy of Sciences (CAS) and their collaborators have lately made new progress in the study of the reaction mechanism of the proton drip-line nucleus 8B. The study will help understand the effect of exotic structures such as the proton halo on the reaction characteristics. 

Direct nuclear reactions, such as elastic scattering and breakup, are powerful tools to probe the unusual features of light weakly bound nuclei. Extensive research has been conducted both experimentally and theoretically, most of which focused on the neutron-rich nuclei with energies around the Coulomb barrier. For weakly bound nuclei in the proton-rich side, such as 8B, the situation is less clear.  

8B is a proton halo nucleus with a very low separation energy of Sp = 0.136 MeV. The spatial extension and cluster configuration of 8B are rather important for describing the elastic and breakup reaction channels. In previous studies, measurements of the elastic scattering of 8B have been made on several medium to heavy targets. 

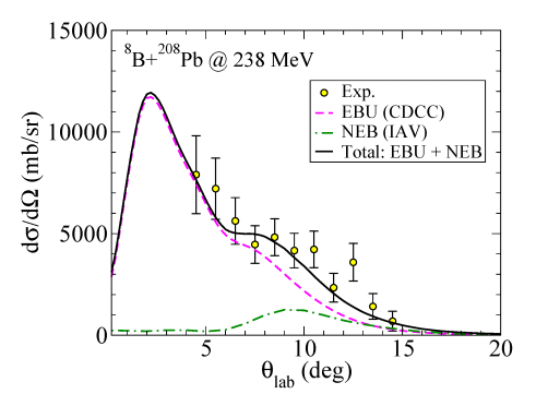
For the first time, researchers at IMP and their collaborators have studied the elastic scattering and breakup reactions of 8B on 208Pb at an incident energy of 238 MeV, which corresponds to about four times of the Coulomb barrier. The experiment was conducted at the Radioactive Ion Beam Line in Lanzhou, the Heave Ion Research Facility of Lanzhou (HIRFL-RIBLL). 

The researchers analyzed the data by using the optical model (OM) and the continuum discretized coupled channels (CDCC) formalism. It is found that the measured and calculated elastic scattering angular distributions do not show any significant Coulomb rainbow suppression, which is at variance with the case of the neutron-rich halo nucleus 11Be.

This work indicates that the breakup couplings effects, in the elastic scattering for the 8B + 208Pb system at higher energies, do not play an important role. 

Furthermore, the angular distribution of 7Be from the breakup reaction was measured for the first time at this energy. The calculations indicate the dominance of the elastic breakup mechanism, while the nonelastic breakup contribution was found to be relevant at angles around the grazing angle.

It has also been found that the integrated breakup cross section of 8B in the present work is approximately only one fourth of that for 11Be on the same target at a similar energy, which suggests that the Coulomb and centrifugal barriers experienced by the valence proton in the ground state of 8B may suppress the breakup probability. 

This work was supported by the Ministry of Science and Technology of China, the National Natural Science Foundation of China, and the Youth Innovation Promotion Association of CAS.

 

Fig. 1. Experimental data of the elastic scattering of 8B + 208Pb and results of OM and CDCC calculations. (Image by WANG Kang)

 

Fig. 2. Experimental differential breakup cross section for 8B + 208Pb and comparisons with calculations. (Image by WANG Kang)