Newsroom
Led by academician Prof. GUO Guangcan from the Chinese Academy of Sciences (CAS), Prof. LI Chuanfeng's group and Prof. XIANG Guoyong's group from University of Science and Technology of China (USTC), CAS, in cooperation with theoretical physicists from Germany, Italy and Switzerland, conducted the first experiment using entangled collective measurement for minimizing quantum measurement backaction based on photonic system.
The result was published online in Physical Review Letters on Nov. 16.
When an observable object is measured twice on an evolving coherent quantum system, the first measurement usually changes the statistical information of the second measurement because the first measurement broke the quantum coherence of the system, which is called measurement backaction.
A former theoretical work of Dr. Mart í Perarnau Llobet in 2017 pointed out that, without violating the basic requirements of quantum thermodynamics, measurement backaction can't be completely avoided, but the degree of backaction caused by projective measurement can be reduced through collective measurement.
Based on the above theoretical research results, Prof. XIANG and the coauthors realized the quantum collective measurement and successfully observed the reduction of measurement backaction in 2019.
Since the quantum collective measurements used in previous works were separable, a natural question can be raised: whether there is quantum entangled collective measurement which reduces more backaction than what we have achieved.
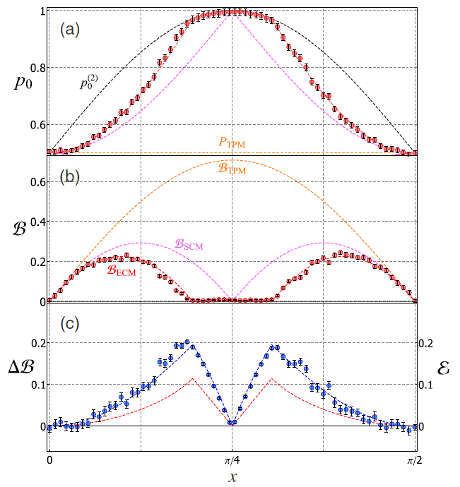
Prof. XIANG and his theoretical collaborators studied the optimal collective measurement in the two qubit system. They found that there is an optimal entanglement collective measurement theoretically, which can minimize the backaction in a two qubit system, and the backaction can be suppressed to zero in the case of strongly coherent evolution.
Then, they designed and implemented the entanglement measurement via photonic quantum walk with fidelity up to 98.5%, and observed the reduction of the reaction of projection measurement.
Conceptual design of the quantum work and its experimental realization (Image by WU Kangda et al.)

Experimental results. Reduction of backaction for different initial states under different evolution ((Image by WU Kangda et al.)
This work is significant to the study of collective measurement and quantum thermodynamics. The referees commented the work as representing a major advance in the field: "The experiment is well executed, as the results follow closely what one would expect from an ideal implementation. Overall, I find the article a highly interesting contribution to the topic of quantum backaction and a great combination of new theory and flawless experimental implementation."
Minimizing Backaction through Entangled Measurements
Minimizing Backaction through Entangled Measurements
Minimizing Backaction through Entangled Measurements
No-Go Theorem for the Characterization of Work Fluctuations in Coherent Quantum Systems
No-Go Theorem for the Characterization of Work Fluctuations in Coherent Quantum Systems
No-Go Theorem for the Characterization of Work Fluctuations in Coherent Quantum Systems