Newsroom
A research team led by Prof. SHANG Zhaohui from National Astronomical Observatories of the Chinese Academy of Sciences (NAOC) has proved that Dome A in Antarctica is the best site for optical astronomical observation on Earth. The study was published in Nature on July 29.
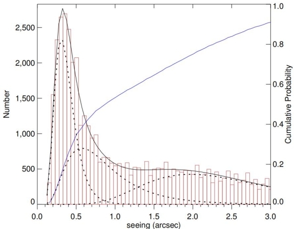
Seeing reflects the atmospheric turbulence that makes stars twinkle or smears star images observed by telescopes. At an observatory with good seeing, weak turbulence results in a smaller seeing value and sharper images. This is especially good for viewing faint objects. A small-aperture telescope at such a site can compete with a larger one at other sites.
Due to the geographic and atmospheric properties at Dome A, atmosphere turbulence usually resides in the near-ground, shallow boundary layer, above which is the very stable free atmosphere with superb seeing.
The researchers reported a seeing measurement as good as 0.13 arcseconds and a median free-atmosphere seeing of 0.31 arcseconds, measured with instruments on an 8-m-high tower.

Fig. 1 The peak in the data historgram indicates the median free-atmosphere seeing of 0.31 arcseconds (Image by MA Bin)
Currently, the best telescopes are located at good sites in Hawaii and Northern Chile, with seeing in the range of 0.6 to 0.8 arcseconds. It is clear that Dome A has the potential to host a good astronomical observatory.
In addition, the median boundary layer thickness is about 14m at Dome A, compared to 30m at Dome C in Antarctica, making Dome A more feasible and cost-efficient for future construction.
Fig. 2 The site for astronomy at Dome A (Image by SHANG Zhaohui)
Dome A is the highest place on the polar ice cap, with an altitude of 4093m. Kunlun Station is the only station there, but has not yet been developed into a winterover station. Therefore, the team had to design and build unattended instruments to cope with temperatures as low as -80℃ and frosting problems.
The research team developed the instrument KL-DIMM independently, and participated in the 35th Chinese National Antarctic Research Expedition (CHINARE) in November 2018 to the inland Kunlun Station. Two redundant KL-DIMMs started to take data in January 2019. They worked fully automatically through winter and obtained precious nighttime seeing measurement data.

Fig. 3 Two redundant KL-DIMMs and their 8m-high tower (Image by SHANG Zhaohui)
Dome A was first visited by humans in January 2005 via overland traverse from Zhongshan Station by the 21st CHINARE. CHINARE is managed and carried out by the Chinese Arctic and Antarctic Administration (CAA) and the Polar Research Institute of China (PRIC), and has consistently supported the astronomy program at Dome A.
The combination of high altitude, low temperature, long periods of continuous darkness, and an exceptionally stable superb seeing makes Dome A a very attractive location for optical and infrared astronomy.