Newsroom
A joint team from the Institute of Solid State Physics under Hefei Institutes of Physical Science, Zhejiang University, High Magnetic Field Laboratory of the Hefei Institutes of Physical Science, Beijing Institute of Applied Physics and Computational mathematics, Hamburg University and Ural Federal University et.al., has revealed physical mechanism and exciton instability of the Lisfshitz transition in the topology semimetal ZrSiSe. The relevant results are published in the Phys. Rev. Lett.
In condensed matter physics, there is a kind of phase transition - Lifshitz phase transition, which describes the topological change of Fermi surface. Lifshitz transition can be induced by some external parameters, such as pressure, magnetic field, chemical doping and so on.
In this work, a new type of Lifshitz phase transition driven by the temperature was reported in the Dirac semimetal, in which the transition usually occurred at the nodal point through which Fermi energy passed.
Due to the high mobility of carriers near these nodes, when Fermi energy could pass through the nodes, the system could be switched from n (p) to p (n), so the Lifshitz phase transition was usually closely related to the abnormal transport behavior of topological semimetals.
By growing high-quality ZrSiSe single crystal, combining the electric transport under low temperature and magnetic field, Scanning Tunneling Spectrum measurement and the first principles calculations, the researchers found that temperature could induce the Lifshitz phase transition in ZrSiSe.
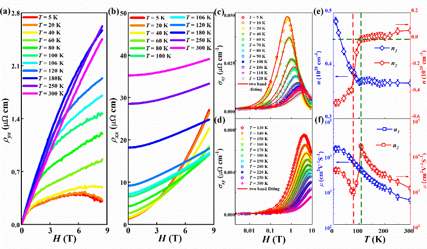
In addition, through the analysis of hall conductance by the two-band model, it was shown that the carrier was a hole when ZrSiSe was higher than the critical temperature T = 106 K, and when the temperature dropped below 106 K, some electronic carriers suddenly appeared. With the further decrease of temperature, the electron and hole carriers were close to compensation at low temperature.
Moreover, the results of differential conductance spectroscopy were also consistent with the transport results. Combined with the first principles calculations, it was found that the sharp change of carrier concentration results from the generation of new electronic pocket due to the Fermi energy level shift caused by temperature reduction, which confirmed the occurrence of Lifshitz phase transition was driven by the temperature.
Further, the pseudo energy gap structure of "V-type" density of state was observed near the Fermi level in the differential conductance spectrum of the low temperature scanning tunnel. The theoretical calculations suggested that the pseudo energy gap structure originated from the interaction of the exciton instability caused by the spin orbit coupling and the electronic correlation effect.
This work fully revealed the temperature driven Lifshitz phase transition effect in ZrSiSe, and found the exciton instability caused by the correlation effect in the system, expanding the research direction of nodal semimetals.
This work was supported by the National Key R&D Program, the National Nature Science Foundation of China, the Joint Funds of the National Natural Science Foundation of China and the Chinese Academy of Sciences’ Large-Scale Scientific Facility, and the Users with Excellence and Scientific Research Grant of the Hefei Science Center of the Chinese Academy of Sciences.

(a),(b) The field dependence of the ρyx(H) andρxx(H) for several temperatures ranging from T = 5 K to 300 K. (c), (d) The field dependence of the Hall conductivity σxy(H) for temperatures ranging from T = 5 to 300 K. Open symbols represent the experimental results and the red solid lines represent the fitting results based on two-component model. (e),(f) The temperature dependence of fitting parameter, namely, the densities and mobility of the carriers extracted from the two component model analysis of σxy. The left dashed red and right dashed green lines in (f) label two anomalies of the mobility μ2 at 80 and 106 K, respectively. (Image by LUO Xuan)

(a) The STS line-cut map along the Zr-Se-Zr direction at T = 4.5 and 77 K, respectively. (c),(e) The calculated ratio of e/h asymmetry based on the spectra measurement in (b) and (d), respectively. (Image by LUO Xuan)

(a) Crystal structure of ZrSiSe. (b) The first-principles calculated band structure of ZrSiSe with SOC along high symmetry lines. The dashed blue line, dotted red and long dashed green lines label three different Fermi levels corresponding to the cases with temperature T=5 K (intrinsic case), 102 and 106 K according to Fig. 2(e), respectively. (c),(d),(e) The three-dimensional Fermi surface with the Fermi energy labeled by the dashed blue, dotted red, and long dashed green lines in (b), respectively. (Image by LUO Xuan)

(a),(b) The calculated Dirac nodal-line structure and Fermi surface of trivial quadratic band with the model in the Supplemental Material, respectively. (c),(d) The calculated DOS with the model in Supplemental Material for kBT = 0.004 (T = 4.5 K) in (c) and kBT = 0.05 (T = 77 K) in (d). Bottom curves 1 and 3 are from Dirac nodal-line bands in (a) with (λsoc, Δex)=(0.06, 0) and (0.06, 0.02), respectively. Top curve 8 and 10 are from the sum of blue curve and bottom curves 1 and 3, respectively. (e) and (f) The enlargement of the bottom and top parts of (c), respectively. Curves 1 and 3 in (e) and (f) are same to these in (c). The curves 2, 4–7 with (λsoc, Δex)= (0.06, 0.01), (0.06, 0.03–0.06). The curves 9, 11–14 have the same values as the curves 2, 4–7. In (a)–(f), other parameters are present in the Supplemental Material. (Image by LUO Xuan)