
Plants of the genus Parasenecio have long been used in traditional Chinese medicine for invigorating the circulation of blood, relieving rheumatic ache, and for the treatment of injures from falls. Previous phytochemical investigations on Parasenecio species demonstrate that sesquiterpenes, especially the eremophilanes, are their characteristic components. Parasenecio albus (P. albus), mainly distributed in the southwest of China, has been used as a folk medicine for heat-clearing and detoxifying therapy.
To obtain structurally interesting ingredients with bioactivities for drug discovery, researches from the Wuhan Botanical Garden of the Chinese Academy of Sciences and Huazhong University of Science and Technology explored the chemical constituents of the P. albus from Xinning County in Hunan province, China.
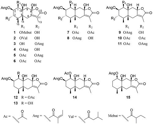
As a result, 15 undescribed highly oxygenated eremophilane sesquiterpenoids, parasubolides A-O (1-15) were characterized from the whole plant of P. albus. Compounds 1-6, and 9-14 represented the first class of 1,2,10-trioxygenated eremophilane lactones.
Taking the traditional medicinal application of P. albus and the bioactivities of reported eremophilane sesquiterpenes into account, the immunosuppressive activities of selected isolates were screened.
The researchers found that compounds 4, 5, and 12 exhibited moderate inhibition against LPS-induced B-cell proliferation with IC50 values of 23.1, 33.8, and 26.6 μM, respectively, verifying eremophilane sesquiterpenoids to be a potential resource of the immunosuppressant.
This study develops the chemical diversity of Parasenecio, and extends the economic value of P. albus as a natural source of the immunosuppressive agents.
Results were published in Bioorganic Chemistry entitled "Eremophilane sesquiterpenoids from the whole plant ofParasenecio albuswith immunosuppressive activity" and it was supported by the National Natural Science Foundation of China.
Eremophilane sesquiterpenoids from the whole plant of Parasenecio albus with immunosuppressive activity (Image by ZHOU Ming)
Structures of compounds parasubolides A-O (1-15) (Image by ZHOU Ming)
86-10-68597521 (day)
86-10-68597289 (night)
52 Sanlihe Rd., Xicheng District,
Beijing, China (100864)