2023
According to a study published in Advanced Optical Materials, Prof. DING Junfeng and his team at the Hefei Institutes of Physical Science of the Chinese Academy of Sciences showed that the semiconductor lead iodide (PbI2) undergoes a transition to a semi-metallic state when subjected to pressure. This transition is accompanied by an improvement in photoelectric properties and an extension of the spectral response range into the infrared band.
PbI2 is a versatile semiconductor with applications in X-ray and gamma ray detection and in the development of perovskite solar cells. By compressing the lattice constants and inducing structural transitions, the application of hydrostatic pressure can be used to modify structural and electronic properties. Therefore, pressure can be an effective method to enhance the photoelectric performance of PbI2.
In this study, the high-pressure absorption spectra of PbI2 suggested that the electrical band was closed at the transition point, while the charge transport indicated that the sample remained non-metallic. The non-metallic transport was well explained by the development of a semimetallic phase at high pressure, as determined by first-principles calculations of the photocurrent spurt and infrared band response.
The semiconductor-semimetal transition in PbI2 was further confirmed by the remarkable decrease in lifetime to a few picoseconds in ultrafast spectroscopy under pressure. In addition, the response band extended from visible light to the telecom wavelength of at least 1,550 nm.
The researchers used several techniques to systematically investigate the behavior of PbI2 under high pressure, and they resolved a long-standing controversy about its high-pressure phase and identify inconsistencies between crystalline and electronic transitions.
This study represents a detailed investigation of the phase transition of the electronic structure of PbI2 under high pressure.
According to the researchers, pressure-induced semimetallization offers a new strategy for designing a high-performance photodetector with broadband response.

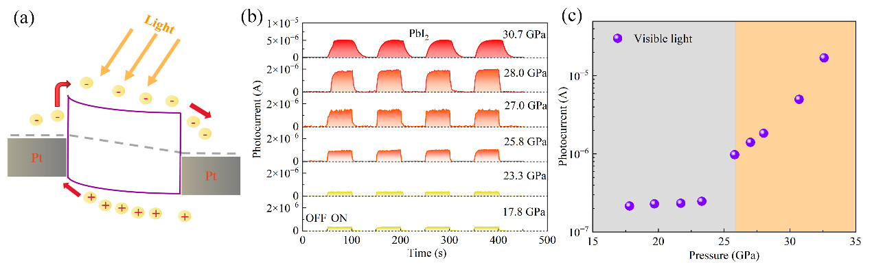
Photocurrent of PbI2 under visible light. (Image by CHENG Peng)

Bandgap evolution of PbI2 under high pressure. (Image by CHENG Peng)