Research News
Researchers Reveal Effects of Defects on Electron Emission Property of Graphene Electrodes
Editor: ZHANG Nannan | Nov 22, 2022
Print

After studying the effects of irradiation defects on the work function of graphene electrodes in thermionic energy converters (TECs), a research team found that the generation of defects in graphene through irradiation would increase the work function and reduce the electron emission capacity. This results in reduced power output and conversion efficiency of TECs.

The research team, led by Prof. YU Jie and Associate Prof. JIANG Zhizhong from the Hefei Institutes of Physical Science of the Chinese Academy of Sciences, has published their findings in Applied Surface Science.

Graphene has enormous application potential as an electrode coating material for TECs of the microreactor, which can significantly improve the electron emission ability of electrode.

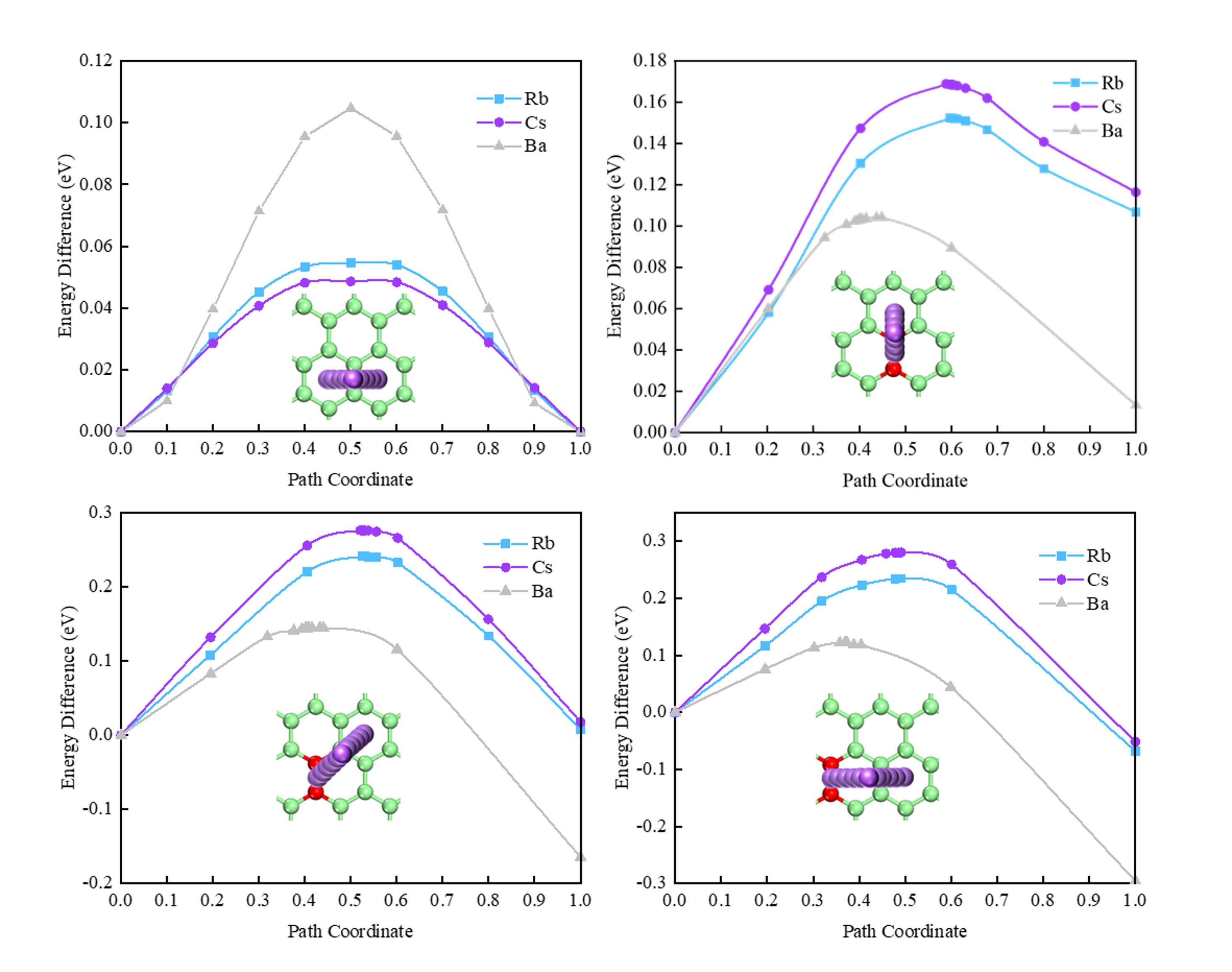
Electrode materials will be exposed to irradiation by high-energy particles during TECs use. Previous studies have shown that the types of defects induced by irradiation in graphene are mainly Stone-Wales defects, doping defects, and carbon vacancies. The appearance of defects will affect the adsorption properties of alkali and alkaline earth metals on the graphene surface in the electrode gap, and then change the electron emission properties of the graphene coating.

In this study, the researchers analyzed the internal influence mechanism of defects on graphene properties. They studied the adsorption and migration behaviors of alkali and alkaline earth metals on the surface of defective graphene at the atomic scale by utilizing the DFT calculations.

"The defect sites act as traps to trap metal adatoms," explained ZHAO Ming, a member of the team, "the metal diffusion near the Stone-Wales defect and carbon vacancy defect was severely hindered. The metal migration barrier on the graphene surface doped with boron (B) or oxygen (O) also increased slightly."

And more notably, it turned out that the work functions of graphene with Stone-Wales defect, carbon vacancy defect, and dopants were significantly increased, which was mainly attributed to the decrease of dipole formation probability and the increase of metal cohesive energy.

These fundamental findings provide theoretical guidance for the application of graphene-coated materials in TECs.

Supercomputing facilities were provided by the Hefei Advanced Computing Center.

 

Fig. 1. Schematic diagram of a thermionic energy converter. (Image by ZHAO Ming) 

 

Fig. 2. Migration behavior of alkali and alkaline earth metal atoms on pristine and oxygen-containing defective graphene surfaces. (Image by ZHAO Ming)