Research News
Researchers Improve Thermoelectric Properties of NbFeSb-based Materials
Editor: ZHANG Nannan | Feb 28, 2022
Print

In a new band convergence scheme proposed by Prof. ZHANG Yongsheng's group from the Hefei Institute of Physical Science of the Chinese Academy of Sciences, the thermoelectric properties of half-Heusler (HH) materials have been successfully improved.  This provides an effective way to develop new thermoelectric materials. Relevant results were published in Journal of Materials Chemistry A.

HH materials with 18 electrons are potential candidates for thermoelectric materials. NbFeSb from the family is a typical p-type (positive hole) high-performance thermoelectric material. Methods to improve the thermoelectric performance of the NbFeSb-based compound focus on decreasing the thermal conductivity. However, since the valence band is dominated by the diffused-orbital of transitional metals in NbFeSb, it is not easy to enhance the thermoelectric properties of the compound via the band engineering, such as the band convergence.

"We have been looking for a promising 18-e NbFeSb-based HH thermoelectric materials," said Prof. ZHANG, "and the left and right elements in the periodic table hit upon me."

They replaced the Mn and Co for Fe, and Zr and Mo for Nb. During the mixing, 18-e mixtures Nb4Mn2Co2Sb4 and Zr2Mo2Fe4Sb4, two semiconductors, were obtained by electron transfer from 19-e systems fill the holes in 17-e systems when the mixing ratio is 1:1.

Then they predicted two new thermodynamically stable 18-e HH compounds through density-functional theory combined with cluster expansion method. The Nb4Mn2Co2Sb4, one of the mixtures had boosted the electrical properties thanks to the high band degeneracy of it.

Aside from that, the mixtures had a lower thermal conductivity than NbFeSb as the complex geometries and low-lying acoustic phonon branches.

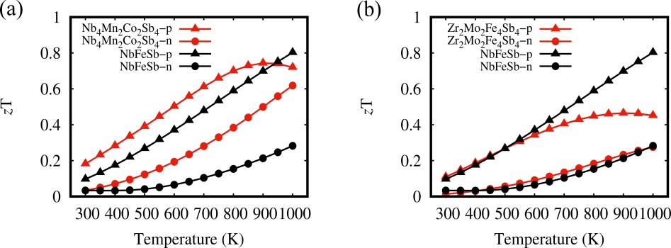
In this scheme, the p- and n-type (negative electron) zT values of Nb4Mn2Co2Sb4 are predicted to reach to 0.72 and 0.62 at 1,000 K, higher than those in the pristine NbFeSb compound.

"Our work shows that combining 17-e and 19-e compounds to form 18-e compounds is an effective way to find novel HH materials with high thermoelectric performance", said TI Zhuoyang, first author of the study.

 

Fig. 1. Crystal structures (a: NbFeSb, c: Nb4Mn2Co2Sb4, e: Zr2Mo2Fe4Sb4), their corresponding band structures and density of states (b, d, f). (Image by TI Zhuoyang) 

 

Fig. 2. zT values of Nb4Mn2Co2Sb4 (the red lines in a), Zr2Mo2Fe4Sb4 (the red lines in b) and NbFeSb (the black lines). The triangle and circle lines represent the p- and n-type thermoelectric properties, respectively. (Image by TI Zhuoyang)