Spin-orbit coupling is one of the fundamental effects in quantum physics. It plays a vital role in many basic physic phenomena and exotic quantum states. These phenomena led to the foundation of several important research fields in condensed-matter physics like spintronics, topological insulator and topological superconductor. However, due to common problem of uncontrollable complex environment, many researches of solid materials of exotic physics become extremely difficult. This remains a major challenge for many relevant researches.
Recently, a joint team of the University of Science and Technology of China and the Peking University made breakthrough in quantum simulation of ultracold atoms. The joint team pioneered the proposal and realization of two-dimensional spin-orbit coupling for ultracold quantum gases. This will inspire of the researches of exotic topological quantum states and therefore implement significant influence to the way how we understand of our world. This joint result was published as a Research Article on the latest issue of Science. Considering the ‘great potential for investigating exotic phenomena that go beyond traditional condensed-matter physics’ of the result, a review article was specially published on the corresponding perspectives column.
Picture 1: Diagram of 2-D spin-orbit coupling and topological band. Atoms perform the spin flip quantum tunneling in the optical lattice under the laser field. (Image by PAN's team)
The spin-orbit coupling describes the interactions between the particle spin and the orbital motion. To synthesize the spin-orbit coupling within ultracold atoms is one of the most exciting directions in the field of quantum simulation. Efforts were put in this extremely challenging research field by several teams from several countries in the past decade. 1-D spin-orbit coupling was first realized by Spielman’s team from NIST, and then by several other laboratories. While, to simulate the exotic topological quantum matter, as topological insulator or superconductor, at least 2-D spin-orbit coupling is required. Yet the research to spin-orbit coupling on higher dimensions was a more challenging work.
LIU Xiongjun’s theoretical team from Peking University first inspired and proposed the Raman optical lattice system, which leads to 2D spin-orbit coupling. Based on this theoretical scheme, the experimental team led by PAN Jianwei, CHEN Shuai and DENG Youjin from the USTC dedicated years to ultra precision laser and magnetic field controlling technology. At last they successfully constructed the Raman optical lattice quantum system and synthetized the 2-D spin-orbit coupling for Bose-Einstein condensates.
Picture 2: The spin-orbit-coupling-induced distribution of atomic group with different spin state (Image by PAN's team)
This setup is, according to the review on Science, particularly appealing because it involves only a single laser source and does not require phase-locking between several optical beams. Instead, a single laser beam is split into two parts to produce a spin-independent optical lattice and a frequency-shifted Raman beam.
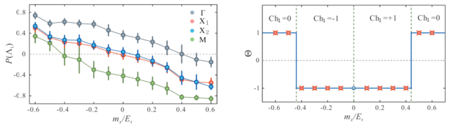
Further research indicates that the spin-orbit coupling and the band topology are highly adjustable. This work will greatly influence the research to ultracold atoms and condensed-matter physics. This breakthrough may also inspire researches in the field of quantum computing. Hopefully in 10-15 years, scientists may realize the coherent manipulation of 80-100 quantum bit, solving speed of specific problems will exceed the current supercomputers.
This work is supported by National Nature Science Foundation of China, Ministry of Science and Technology, Ministry of Education, Chinese Academy of Science, CAS-Alibaba Joint Laboratory of Quantum Computing, and several other institutions.

Picture 3: Spin state distribution of high symmetry point measured in the experiment match with the results of theoretical arithmetic (Image by PAN's team)