
Repetitive sequence (RS) elements are redundant, complex at times, evolutionarily active, and show significant influences on structures of genes and genomes. RSs are characterized as multi-copied sequences in two broadly defined classes: satellite sequences (SSs) and transposable elements (TEs). As many vertebrate genomes have been sequenced, TE- and SS-driven intron expansions in different vertebrate lineages can now be studies.
A research team led by Prof. YU Jun at Beijing Institute of Genomics (BIG), Chinese Academy of Sciences (CAS) has focused on how intron expansion relates to gene functions among three subgroups of mammals (primates, large mammals, and rodents) and the roles of mutation and natural selection played in the course of genome evolution.
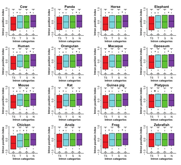
To study the evolutional features of TEs and SSs in the intronic sequence of twelve selected mammalian genomes, researchers divided the subjects into four groups—primates, large mammals, rodents, and primary mammals—and used four non-mammalian vertebrate species as the out-group. Several distinct profiles in intron length and positioning in different vertebrate lineages have been observed by scientists based on TE-dominant or SS-dominant intron expansions.
The RS patterns of mouse and rat genes are most striking, which are not only distinct from those of other mammals but also different from guinea pig (rodent species). They have also observed a two-dimensional divergence, where genes that possess SS-dominant and/or RS-free introns are enriched in tissue-specific development and transcription regulation in all mammalian lineages. It has also been found that the tendency of transposons in increasing intron size is much stronger than that of satellites, and the combined effect of both TEs and SSs is greater than either one of them alone in a simple arithmetic sum among the mammals. The opposite is found among the four non-mammalian vertebrates.
Dr. WANG Dapeng has pointed that “we suspect that the RS content diversity that we observed among vertebrate introns or genes may not be straightforward to characterize with regard to precise timing as the samples we used are still in a limited scope”. TE- and SS-derived RSs are forced to cluster or locate in intronic regions and seldom occur in core regulatory regions that are constantly under strong positive or negative selections.

Position index comparisons for the four intron classes. (Imaged by Dr. WANG Dapeng)
Contact: Prof. YU Jun
Email: junyu@big.ac.cn
86-10-68597521 (day)
86-10-68597289 (night)
52 Sanlihe Rd., Xicheng District,
Beijing, China (100864)